
Hemicellulose-bacterial cellulose ribbon interactions affect the anisotropic mechanical behaviour of bacterial cellulose hydrogels

2022年10月,海角网
食品营养健康工程与智能化加工研究中心陈思谦(第一作者)在国际食品顶级期刊《Food Hydrocolloids》(IF: 11.504, Q1)发表了题为“Hemicellulose-bacterial cellulose ribbon interactions affect the anisotropic mechanical behaviour of bacterial cellulose hydrogels”的研究论文。


细菌纤维素(bacterial cellulose,BC)是一类由细菌合成的纳米级生物多糖材料,具有极强的持水性和优良的力学性能,常被应用于食品(椰果类产品)、医用材料等领域。以往研究发现,天然细菌纤维素水凝胶的纤维排布具有一定程度取向性,使其网络结构沿水平方向具有密度较高、纤维取向较强的纤维堆积层,而在相邻纤维堆积层间存在数十到数百微米的密度较小的类空穴结构。这种微观结构决定了天然细菌纤维素水凝胶的各向异性力学特性。
本研究旨在探究两种半纤维素(阿拉伯木聚糖(AX)、β-葡聚糖(MLG))对天然细菌纤维素各向异性力学特性的影响。研究借鉴了M.J. Gidley等建立的细菌纤维素-植物细胞壁多糖复合体系,构建了BC-AX与BC-MLG两种凝胶,比较了其与天然细菌纤维素凝胶在结构及力学性质上的各向异性程度。

图1 制备的细菌纤维素、细菌纤维素-阿拉伯木聚糖、细菌纤维素-β葡聚糖水凝胶

图2 细菌纤维素、细菌纤维素-阿拉伯木聚糖、细菌纤维素-β葡聚糖水凝胶微观结构图(扫描电子显微镜观察)



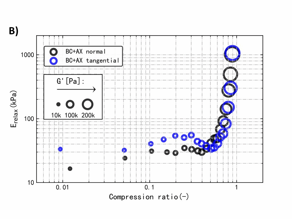
图3 细菌纤维素、细菌纤维素-阿拉伯木聚糖、细菌纤维素-β葡聚糖水凝胶的各向异性力学特性表征
研究发现,AX和MLG虽无法对细菌纤维素的结晶结构有显著影响,但可以球状团聚物的形式吸附在纤维表层。而通过两个方向上的力学及流变学测试发现,两种半纤维素在小应变(线性黏弹区,小振幅振荡剪切实验)对细菌纤维素水凝胶的各向异性力学性能影响较小,而在大应变(非线性黏弹区,压缩-应力松弛实验)条件下能减少细菌纤维素水凝胶力学性能的各向异性程度。本研究介绍了一种简单、绿色的方法调控细菌纤维素凝胶的各向异性力学性能,为进一步开发细菌纤维素的利用价值提供了经验。


陈思谦,博士,讲师,硕士生导师。主要从事多糖基复合纳米材料的开发与表征体系、微生物发酵工程、食品流变学等的研究工作。主持完成国家自然科学基金青年基金项目,参与澳洲科学委员会ARC项目、国家自然科学基金重点研发计划子课题等项目;以第一/通讯作者发表学术论文20余篇,其中SCI收录10篇;兼职Food Hydrocolloids、Carbohydrate Polymers等国内外学术期刊审稿人。