成果介绍
Structural characterisation, gas-trointestinal digestion stability and transepithelial transport study of casein peptide–zinc chelate
2022年3月,海角网
化学工程与能源技术学院王波博士(第一作者)在国际食品期刊《International Journal of Food Science and Technology》(IF:3.612, 中科院二区)发表了题为“Structural characterisation, gastrointestinal digestion stability and transepithe-lial transport study of casein peptide–zinc chelate”的研究论文。

内容导读
锌作为一种必需的微量元素,对人体的生长发育和免疫系统功能的完善尤其重要。由于体内没有专门的锌储藏点,需要通过膳食额外补充足够的量来维持人体内锌的平衡状态。而我们膳食结构中的植酸、多酚、皂苷和纤维素等抗营养因子,会与锌结合形成不溶性的复合物,阻碍锌的吸收,导致人体锌缺乏。目前全世界发达国家中大约有22亿人口受到锌缺乏的影响,尤其是婴儿、孕妇、哺乳期的女性以及老年人受影响最严重。
越来越多研究表明,以食源多肽为结构基础构建的肽-锌螯合物由于安全可靠、锌利用率高且具备一定的生物活性等优点而受到广泛的关注。但是由于肽-锌螯合物在胃肠道内稳定性的问题,导致锌的消化吸收和在体内的生物利用率有很大差异。

图1 钛-锌螯合物微观结构

图2 钛-锌螯合物锌的溶解度及在胃肠道模拟消化中的释放

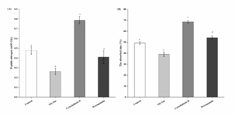
图3 钛-锌螯合物的跨上皮转运吸收特性
肽-锌螯合物作为第四代锌补充剂,在保健品和食品营养学领域受到广泛的关注。在这项工作中,重点研究了牛奶源酪蛋白肽-锌螯合物的结构特点和消化吸收特性。酪蛋白肽中羰基和羧基氧原子、酰胺基团参与了锌离子的螯合,且螯合锌离子后酪蛋白肽的表面负电荷性减弱,导致螯合物聚集成较大颗粒。经体外模拟胃肠消化吸收,仍然有40%的锌离子以肽-锌螯合物的形式存在,这部分螯合物可以通过PepT1路径和细胞旁路跨膜吸收进入血液循环。这项工作为新型锌离子吸收载体的开发和应用提供了理论参考。
作者简介

王波,男,讲师,中国农业大学博士,华南理工大学博士后。主要从事生物活性肽的消化、吸收、代谢以及构效关系研究,主持中国博士后科学基金、粤莞联合基金等项目;以第一作者发表学术论文10余篇,申请和授权国家发明专利7项。